Adjusting data to use with sicegar
Thomas Matheis, Phineus Choi, Sam Butler, Mira Terdiman, Johanna Hardin
2025-11-15
Source:vignettes/adjusting_data.Rmd
adjusting_data.RmdAdjusting the data structure
There are sometimes cases where data must be adjusted before using sicegar. Two common situations in which adjustments are needed is when the data have too few time points and when there appears to be a decreasing, or negative, trend. While sicegar does not have built-in functions to perform the necessary corrections, we provide a set of straightforward operations to mitigate the cases and estimate the sigmoidal parameter values.
Too few time points / observations
The first case happens when the data contain too few time points. More specifically, if the sigmoidal data has on the order of five or fewer time points (six or fewer for double sigmoidal data), sicegar will usually fail to find a fit. This is a result of the sigmoidal and double sigmoidal models having six and seven parameters respectively.
time <- rep(seq(1, 24, 4), 5)
noise_parameter <- 0.3
mean_values <- doublesigmoidalFitFormula_h0(time,
finalAsymptoteIntensityRatio = .3,
maximum = 10,
slope1Param = 1,
midPoint1Param = 7,
slope2Param = 1,
midPointDistanceParam = 8,
h0 = 3)
intensity <- rnorm(n = length(mean_values), mean = mean_values, sd = rep(noise_parameter, length(mean_values)))
dataInput <- data.frame(time, intensity)
ggplot(dataInput, aes(time, intensity)) +
geom_point() +
scale_y_continuous(limits = c(0, 12), expand = expansion(mult = c(0, 0))) +
theme_bw()
We can attempt to use fitAndCategorize() on our data,
only to observe that the function fails to find a fit and results in an
error:
fitObj <- fitAndCategorize(dataInput,
threshold_minimum_for_intensity_maximum = 0.3,
threshold_intensity_range = 0.1,
threshold_t0_max_int = 1E10,
use_h0 = TRUE)## Error in if (parameterVector$model == "sigmoidal") {: argument is of length zero
When there are multiple reps at each time point, a small jitter in the x-direction (time) can artificially “create more time points” for the sicegar estimation.
dataInput_jitter <- dataInput |>
mutate(time = jitter(time, amount = 0.5))
ggplot(dataInput_jitter, aes(time, intensity)) +
geom_point() +
scale_y_continuous(limits = c(0, 12), expand = expansion(mult = c(0, 0))) +
theme_bw()
fitAndCategorize is used as usual, successfully finding
a fit for the model. Data are plotted using
figureModelCurves():
fitObj_jittered <- fitAndCategorize(dataInput_jitter,
threshold_minimum_for_intensity_maximum = 0.3,
threshold_intensity_range = 0.1,
threshold_t0_max_int = 1E10,
use_h0 = TRUE)
figureModelCurves(dataInput = fitObj_jittered$normalizedInput,
doubleSigmoidalFitVector = fitObj_jittered$doubleSigmoidalModel,
showParameterRelatedLines = TRUE,
use_h0 = TRUE)
Decreasing trend
The second case happens when there is a negative relationship between
time and intensity. The solution is to reverse the time points (subtract
time from max(time)) and fit the model in the
flipped space. Then flip the model back (e.g., the
parameter can be estimated in the flipped space and then unflipped to
get the original onset time).
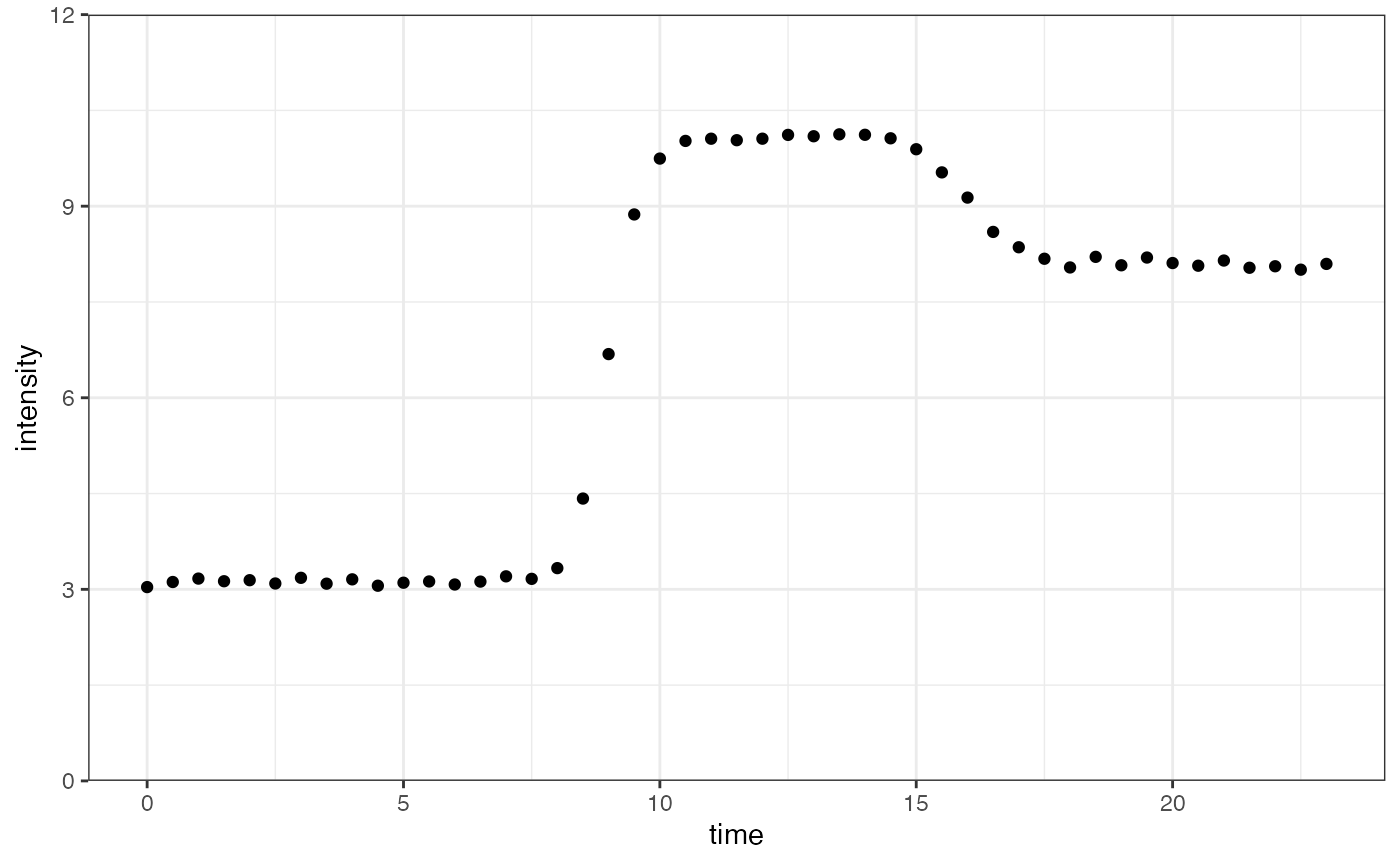
time <- seq(1, 24, 0.5)
noise_parameter <- 0.2
mean_values <- doublesigmoidalFitFormula_h0(time,
finalAsymptoteIntensityRatio = .3,
maximum = 10,
slope1Param = 1,
midPoint1Param = 7,
slope2Param = 1,
midPointDistanceParam = 8,
h0 = 8)
intensity <- rnorm(n = length(mean_values), mean = mean_values, sd = rep(noise_parameter, length(mean_values)))
dataInput <- data.frame(time, intensity)
ggplot(dataInput, aes(time, intensity)) +
geom_point() +
scale_y_continuous(limits = c(0, 12), expand = expansion(mult = c(0, 0))) +
theme_bw()
The most straightforward method to deal with decreasing trends is to
reverse the x-axis, resulting in the last time value to becoming the
first time value, etc. The new time is calculated as
max(time) - time.
dataInput_flipped <- dataInput |>
mutate(time = max(time) - time)
ggplot(dataInput_flipped, aes(time, intensity)) +
geom_point() +
scale_y_continuous(limits = c(0, 12), expand = expansion(mult = c(0, 0))) +
theme_bw()
Now that the data have an increasing trend, we can apply
fitAndCategorize as usual to find a fit for our model and
plot using figureModelCurves():
fitObj_flipped <- fitAndCategorize(dataInput_flipped,
threshold_minimum_for_intensity_maximum = 0.3,
threshold_intensity_range = 0.1,
threshold_t0_max_int = 1E10,
use_h0 = TRUE)
figureModelCurves(dataInput = fitObj_flipped$normalizedInput,
doubleSigmoidalFitVector = fitObj_flipped$doubleSigmoidalModel,
showParameterRelatedLines = TRUE,
use_h0 = TRUE)
To extract the original onset time, we convert the parameter back to the original space, observing the final estimation on the original data:
original_onset_time <- max(dataInput$time) - fitObj_flipped$doubleSigmoidalModel$midPoint1Param_Estimate
dataInput <- data.frame(time, intensity)
ggplot(dataInput, aes(time, intensity)) +
geom_point() +
geom_vline(xintercept = original_onset_time, color = "red", linetype = "dashed") +
scale_y_continuous(limits = c(0, 12), expand = expansion(mult = c(0, 0))) +
theme_bw()